Abstract
Purpose: The therapeutic importance of immune responses against single versus multiple antigens is poorly understood. There also remains insufficient understanding whether responses to one subset of antigens are more significant than another. Autoantibodies are frequent in cancer patients. They can pose no biological significance or lead to debilitating paraneoplastic syndromes. Autoreactivity has been associated with clinical benefits, but the magnitude necessary for meaningful results is unknown. Autologous tumor cells engineered to secrete granulocyte macrophage colony-stimulating factor generate immune infiltrates in preexisting metastases with associated tumor destruction. We sought to identify targets of responses from this vaccination strategy.
Experimental Design: Postvaccination sera used in screening a cDNA expression library prepared from a densely infiltrated metastasis of a long-term surviving melanoma patient identified several autoantigens. Additional autoantigens were identified through similar screenings in non–small cell lung cancer and murine models, and proteins implicated in cancer propagation. ELISAs for several targets were established using recombinant proteins, whereas others were evaluated by petit serologies.
Results: Eleven gene products were identified through serologic screening from two patients showing highly favorable clinical outcomes. A subset of antigens revealed significant changes in antibody titers compared with weak responses to other proteins. Time course analyses showed coordinated enhanced titers against several targets as a function of vaccination in responding patients.
Conclusions: This study shows the range of biologically significant antigens resulting from a whole-cell vaccine. Targets include autoantigens that are components of cell cycle regulation. Potent antibody responses against multiple autoantigens are associated with effective tumor destruction without clinical autoimmunity.
Vaccination with irradiated tumor cells engineered to secrete granulocyte macrophage colony-stimulating factor (GM-CSF) generates potent, specific, and long-lasting immunity in multiple murine tumor models (1, 2). Phase I clinical trials testing this immunization strategy in patients with cancer have shown the frequent development of dense infiltrates of CD4+ and CD8+ T lymphocytes and plasma cells in preexisting tumors following vaccination (3). This resulted in extensive tumor destruction, fibrosis, and edema. Infiltrating lymphocytes were found in close proximity to plasma cells, supporting coordinated humoral and cellular antitumor immune responses in these vaccinated patient populations. Characterization of postvaccination sera by flow cytometry and Western blot analysis using established cell lines revealed the stimulation of antitumor IgG responses in our treated melanoma patients. Five years following the initiation of vaccination, greater than one third of melanoma stage IV patients remain alive with stable or responding disease. This foundation provides the unique opportunity to identify the targets of this coordinated vaccine-induced antitumor activity.
Serologic analysis of recombinant cDNA expression libraries (SEREX) has proven powerful in identifying numerous antibody targets from a variety of tumor types. The number of SEREX-defined antigens exceeds 2,000, with approximately one third defining novel genes at the time of their discovery (4, 5). Several factors suggest the use of SEREX to be useful for the identification of antigen targets eliciting both B- and T-cell responses. First, numerous antigens identified by SEREX are T-cell targets or have been subsequently shown to be T-cell targets in vitro. The use of an IgG-specific antibody in the screening process suggests that a T-cell helper response has occurred enabling IgG class switching. Along with the IgG responses and histologic evidence for immune-mediated tumor destruction from our phase I vaccination studies, this further supports the utility of SEREX to identify targets of antitumor immune responses in our patient population.
We report the results of our initial screenings of a cDNA expression library prepared from a melanoma cell line derived from a densely infiltrated metastasis from patient K008 who had a clinical complete response to vaccination. Immune analyses of these autoantigens, those identified by similar screenings in non–small cell lung cancer and murine models, and several additional gene products known to be important in malignant transformation showed coordinated humoral responses to multiple autoantigens. Furthermore, these responses are associated with immune-mediated tumor destruction in several long-term surviving patients following vaccination without the development of clinically significant autoimmunity.
Materials and Methods
Clinical protocols. Sera and tumor samples were obtained from patients on Institutional Review Board/Food and Drug Administration/Recombinant DNA Advisory Committee–approved Dana-Farber Partners Cancer Care clinical protocols. The trials of GM-CSF–secreting, autologous melanoma cell vaccines have been reported previously (3, 6, 7). Sera were obtained also from healthy blood bank donors and hormone-refractory advanced cancer patients (kindly provided by Phillip Kantoff, Dana-Farber Cancer Institute, Boston, MA) at the Dana-Farber Cancer Institute.
Tissues and sera. Tumor cell lines were established from harvested fresh tissues that underwent mechanical and enzymatic digestion and in vitro expansion. Cell lines were maintained in DMEM containing 10% (v/v) FCS and penicillin/streptomycin. Sera were obtained from patients before initiation of vaccination and at least monthly thereafter. Samples were stored at −80°C.
Library construction and screening. Total RNA was isolated from the melanoma cell line K008 established from the patient's metastatic abdominal wall mass that was heavily infiltrated with plasma cells and T lymphocytes. RNA was extracted using guanidine isothiocyanate and mRNA was selected with two rounds of oligo(dT) cellulose. A cDNA expression library was constructed in the Lambda Zap vector using a commercial cDNA library kit (Stratagene) according to the manufacturer's procedures. Plaques (1 × 106) were screened with precleared (against Escherichia coli and λ phage lysates) postvaccination sera from patient K008 and patient K030/M34 at a 1:1,000 dilution in TBS, 0.1% Tween 20, and 2% nonfat dried milk. Positive plaques were detected with an alkaline phosphatase–conjugated goat anti-human IgG antibody (Jackson) diluted 1:2,000 in TBS-Tween 20. Reactive clones were plaque purified, and the excised phagemids were sequenced.
Recombinant protein production. The open reading frame of human upstream binding factor-2 (UBF-2) was cloned into the histidine tag–containing vector PET 28 (Stratagene) between restriction sites EcoRI and HindIII. Integrity of the construct was verified by sequencing (Molecular Biology Core Facilities, Dana-Farber Cancer Institute). UBF-2 histidine-tagged protein was found to be poorly soluble. The denatured protein extract containing recombinant UBF-2 histidine-tagged protein was solubilized in 6 mol/L guanidine, affinity purified on a Ni2+-NTA resin column, and underwent solid-phase renaturation. The renatured protein was eluted from the column under native conditions.
Glutathione S-transferase (GST)-ATP6S1, GST-focal adhesion kinase (FAK), GST-AKT2, and GST-human Id-associated protein (HIDA) full-length recombinant proteins were produced with the PGEX 5X-3 vector (Amersham Pharmacia) according to the manufacturer's procedures.
ELISA. Three hundred nanograms of recombinant UBF-2 protein or 500 ng of GST fusion proteins per well were adsorbed in coating buffer [15 mmol/L Na2CO3, 30 mmol/L NaHCO3 (pH 9.6), 0.02% NaN3] to microwell plates overnight at 4°C. Plates were washed with PBS− and blocked overnight with 2% nonfat milk. The plates were again washed with PBS− and 100 μL/well of sera diluted 1:1,000 in 2% nonfat milk were added and incubated overnight at 4°C. Plates were then washed extensively with PBS/Tween 20 and 100 μL/well of horseradish peroxidase–conjugated goat anti-human IgG (H+L) (Zymed) diluted 1:2,000 in 2% nonfat milk were added for 90 min at room temperature. The plates were again extensively washed in PBS/Tween 20 and developed with the addition of 70 μL substrate (DAKO reagent). The reactions were stopped with the addition of 35 μL of 1 N HCl. Plates were read at an absorbance of 450 nm. All samples were done in duplicate. Values were reported as the mean absorbance of the sample wells minus the mean absorbance from wells coated without protein for UBF-2 or GST alone for fusion proteins.
Petit serologies. To determine qualitative changes in antibody titers for gene products that recombinant protein was difficult to manufacture, petit serologies (8) were used to test serologic reactivity to the isolated phage clone at various time points from vaccination. The phage clone of interest was mixed in a 1:1 ratio with a phage that did not express protein and plated. Precleared sera from patients before vaccination and at time points after vaccination were used in a standard plaque assay to assess for changes in antibody reactivity. The antibody reactivity for each time point was then scored.
Statistics. Immune responses to protein UBF were summarized descriptively using means, SEs, medians, and interquartile ranges. Equality of the distributions of immune response levels for patients with melanoma, lung cancer, prostate cancer, or normal controls was evaluated using the Kruskal-Wallis test. For pairwise comparisons of immune response of each cancer type with normal controls, Wilcoxon rank-sum tests were done using a Bonferroni correction to adjust for multiple comparisons. Statistical tests were two sided with a significance level of 0.05.
Results
Antigen identification by immunoscreening with postvaccination sera. The clinical course for patient K008, experiencing a durable complete response to vaccination, is summarized in Table 1. We identified 14 phage plaques representing 11 distinct autoantigens using postvaccination sera from patient K008 and patient K030/M34, both patients having pathologic evidence for potent vaccine-induced immune-mediated tumor destruction with favorable clinical outcomes. We have previously reported ATP6S1, OGFr, and ML-IAP (9–11). Additional autoantigens included the following: UBF-2, an essential regulator of rRNA; KIAA0603, the human homologue of murine tbc-1 and homologous to the tre-2 oncogene involved in cell cycle and tissue differentiation; TPR, nuclear pore element implicated in oncogenic gene rearrangements (e.g., TPR-MET in osteosarcoma); UBP3, homologous to nuclear ubiquitin protease; tyrosinase-related protein-2, a melanoma differentiation antigen and known CTL target; KIAA0470 (two splice variants), Ku86 autoantigen-related protein-1–binding protein 3, involved in dsDNA repair; and an unknown gene product with homology to a human ankyrin protein. Attempts to reverse transcribe the regions representing the fusion of the gene products BRAP2/ATP6S1 (previously reported) and TPR/UBP3 found in the phage clones were unsuccessful. These are believed to be artifacts of library construction as the EcoRI linkers used were identified joining the gene products. Sera obtained from these patients before vaccination also recognized all gene products by phage plaque assay.
Clinical courses for patients K008 and K030/M34
| A. Summary of clinical course for patient K008 (note the clinical recognition of the abdominal wall mass changing 1 wk following the fifth vaccination) . | . | |
|---|---|---|
| Patient K008 | ||
| 1991 | Primary malignant melanoma, arm | |
| 1993 | Local recurrence resected | |
| 1994 | Pulmonary metastasis detected | |
| 3/95 | Pulmonary metastasis resected for vaccine production | |
| 6/95 | New right neck metastasis; resected | |
| 9/95 | New abdominal wall mass noted | |
| 10/95 | Vaccinations begun (every 2 wk × 6) | |
| Intense immunization site reactions (induration up to 31 × 19 cm) | ||
| 12/95 | One week after fifth vaccination, abdominal wall mass became more prominent with surrounding erythema | |
| 2/96 | Abdominal wall mass resected: dense infiltrates of CD4+ and CD8+ T cells and plasma cells inducing extensive tumor necrosis and fibrosis (a melanoma cell line was established from this lesion and used to construct a cDNA expression library) | |
| 11/07 | Patient remains disease-free; intermittent “flares” of vaccination sites associated with low-grade fever, malaise, and spontaneously resolving posterior cervical lymphadenopathy | |
| B. Summary of clinical course for long-term surviving patient K030/M34 (note the multiple rounds of vaccination with autologous, irradiated melanoma cells) | ||
| Patient K030/M34 | ||
| 1991 | Autologous bone marrow transplant for metastatic breast cancer | |
| 1996 | Nodules posterior neck/upper trunk: biopsied melanoma | |
| 1996 | Retroviral GVAX × 2 rounds (12 vaccinations each): PR followed by surgical resection | |
| 4/1998 | Left lower extremity metastasis resected | |
| 10/1998 | Right thigh mass developed; adenoviral GVAX | |
| First vaccination: vaccine site: 10 cm × 12 cm | ||
| DTH: 4.5 cm × 5 cm | ||
| Developed discomfort at site of disease | ||
| Continued reaccumulation of fluid in thigh that required weekly drainage | ||
| 7/1999 | Limb perfusion with melphalan and tumor necrosis factor—little response | |
| Left breast mass biopsied: metastatic melanoma | ||
| 11/1999 | Right lower pelvic mass—metastatic melanoma | |
| Resection revealed extensive necrosis | ||
| 1/2000 | Right shoulder metastasis resected | |
| 3/2000 | Another round of GVAX | |
| Reactions: vaccination site: 8 cm × 6 cm | ||
| DTH: 4 cm × 4 cm | ||
| Clinically less pain, improved energy level, stabilization of disease | ||
| 11/2000 | Increase in size of thigh mass | |
| Resection of bowel metastasis for vaccine production | ||
| Sixth round of vaccination | ||
| 1/2001 | More fatigue, progression of disease with increased size of thigh mass | |
| Hospice care | ||
| A. Summary of clinical course for patient K008 (note the clinical recognition of the abdominal wall mass changing 1 wk following the fifth vaccination) . | . | |
|---|---|---|
| Patient K008 | ||
| 1991 | Primary malignant melanoma, arm | |
| 1993 | Local recurrence resected | |
| 1994 | Pulmonary metastasis detected | |
| 3/95 | Pulmonary metastasis resected for vaccine production | |
| 6/95 | New right neck metastasis; resected | |
| 9/95 | New abdominal wall mass noted | |
| 10/95 | Vaccinations begun (every 2 wk × 6) | |
| Intense immunization site reactions (induration up to 31 × 19 cm) | ||
| 12/95 | One week after fifth vaccination, abdominal wall mass became more prominent with surrounding erythema | |
| 2/96 | Abdominal wall mass resected: dense infiltrates of CD4+ and CD8+ T cells and plasma cells inducing extensive tumor necrosis and fibrosis (a melanoma cell line was established from this lesion and used to construct a cDNA expression library) | |
| 11/07 | Patient remains disease-free; intermittent “flares” of vaccination sites associated with low-grade fever, malaise, and spontaneously resolving posterior cervical lymphadenopathy | |
| B. Summary of clinical course for long-term surviving patient K030/M34 (note the multiple rounds of vaccination with autologous, irradiated melanoma cells) | ||
| Patient K030/M34 | ||
| 1991 | Autologous bone marrow transplant for metastatic breast cancer | |
| 1996 | Nodules posterior neck/upper trunk: biopsied melanoma | |
| 1996 | Retroviral GVAX × 2 rounds (12 vaccinations each): PR followed by surgical resection | |
| 4/1998 | Left lower extremity metastasis resected | |
| 10/1998 | Right thigh mass developed; adenoviral GVAX | |
| First vaccination: vaccine site: 10 cm × 12 cm | ||
| DTH: 4.5 cm × 5 cm | ||
| Developed discomfort at site of disease | ||
| Continued reaccumulation of fluid in thigh that required weekly drainage | ||
| 7/1999 | Limb perfusion with melphalan and tumor necrosis factor—little response | |
| Left breast mass biopsied: metastatic melanoma | ||
| 11/1999 | Right lower pelvic mass—metastatic melanoma | |
| Resection revealed extensive necrosis | ||
| 1/2000 | Right shoulder metastasis resected | |
| 3/2000 | Another round of GVAX | |
| Reactions: vaccination site: 8 cm × 6 cm | ||
| DTH: 4 cm × 4 cm | ||
| Clinically less pain, improved energy level, stabilization of disease | ||
| 11/2000 | Increase in size of thigh mass | |
| Resection of bowel metastasis for vaccine production | ||
| Sixth round of vaccination | ||
| 1/2001 | More fatigue, progression of disease with increased size of thigh mass | |
| Hospice care | ||
Different patterns of UBF-2 recognition by sera from healthy individuals and solid tumor patients. UBF plays a central role in rRNA transcriptional activity and thus cell division. It is also identified as the antigenic target for high-titer antibodies present in the sera of patients with scleroderma. Given the high-titer antibodies discovered in our patient population, it is an ideal example of an autoantigen to further study in cancer patients. To better assess the significance of high-titer antibodies to UBF-2, recombinant UBF-2 protein was first used in an ELISA to compare the reactivity of patient K008 sera with the reactivity of sera from patients with a variety of cancers as well as sera from apparently healthy individuals. Sera from 40 healthy blood donors, 32 patients with metastatic melanoma, 19 patients with advanced lung cancer, and 37 patients with advanced prostate cancer were analyzed (Table 2; Fig. 1A). Whereas a small subset of normal donors has reactivity against UBF-2, immune responses to UBF were significantly different between the four cohorts (P = 0.04, Kruskal-Wallis). Comparison of each of the cancer types (melanoma, lung, and prostate) against normal sera revealed that the melanoma patients had significantly higher median immune response (0.15 versus 0.06; P = 0.018, Bonferroni-adjusted Wilcoxon rank-sum), but immune responses were not significantly different between normal sera than from prostate or lung cancer patients. In our serology screening, a high antibody titer against UBF-2 was a rare event, as exemplified by the reactivity in the sera from patient K008 at a postvaccination time point. Of six melanoma primary cell cultures or established cell lines available from patients whose sera were evaluated, there seemed to be no significant difference in UBF-2 expression by reverse transcription-PCR or significant difference in copy number by Southern blot analysis (data not shown).
Summary of immune response levels to UBF-2
| . | n . | Mean . | SE . | Median . | IQR . | Range . |
|---|---|---|---|---|---|---|
| Melanoma | 32 | 0.170 | 0.028 | 0.148 | 0.154 | 0.003-0.86 |
| Lung | 19 | 0.105 | 0.024 | 0.077 | 0.057 | 0.028-0.48 |
| Prostate | 37 | 0.131 | 0.025 | 0.087 | 0.128 | 0.0-0.83 |
| Normal | 40 | 0.088 | 0.011 | 0.063 | 0.078 | 0.001-0.29 |
| . | n . | Mean . | SE . | Median . | IQR . | Range . |
|---|---|---|---|---|---|---|
| Melanoma | 32 | 0.170 | 0.028 | 0.148 | 0.154 | 0.003-0.86 |
| Lung | 19 | 0.105 | 0.024 | 0.077 | 0.057 | 0.028-0.48 |
| Prostate | 37 | 0.131 | 0.025 | 0.087 | 0.128 | 0.0-0.83 |
| Normal | 40 | 0.088 | 0.011 | 0.063 | 0.078 | 0.001-0.29 |
Abbreviation: IQR, interquartile range.
A, antibody titers against UBF-2 in 42 healthy donors and 32 patients with metastatic melanoma, 28 metastatic lung cancer, or 38 metastatic prostate cancer. ELISA with bacterial-expressed protein. Sera at a 1:1,000 dilution. Points, mean; bars, SE. B, antibody titers of melanoma patient K008 against UBF-2 as a function of vaccination. ELISA with bacterial-expressed protein. Sera at a 1:1,000 dilution. Arrows, times of vaccination. C, antibody titers of melanoma patient M26 against UBF evaluated by ELISA as a function of vaccination. Sera at a 1:1,000 dilution. Arrows, time of vaccination. D, antibody titers of melanoma patient M28 against recombinant UBF protein evaluated by ELISA as a function of vaccination. Sera at a 1:300,000 dilution. Arrows, times of vaccination. E, antibody titers for IgG isotypes for patient M28 as a function of vaccination.
A, antibody titers against UBF-2 in 42 healthy donors and 32 patients with metastatic melanoma, 28 metastatic lung cancer, or 38 metastatic prostate cancer. ELISA with bacterial-expressed protein. Sera at a 1:1,000 dilution. Points, mean; bars, SE. B, antibody titers of melanoma patient K008 against UBF-2 as a function of vaccination. ELISA with bacterial-expressed protein. Sera at a 1:1,000 dilution. Arrows, times of vaccination. C, antibody titers of melanoma patient M26 against UBF evaluated by ELISA as a function of vaccination. Sera at a 1:1,000 dilution. Arrows, time of vaccination. D, antibody titers of melanoma patient M28 against recombinant UBF protein evaluated by ELISA as a function of vaccination. Sera at a 1:300,000 dilution. Arrows, times of vaccination. E, antibody titers for IgG isotypes for patient M28 as a function of vaccination.
Antibody titers to UBF-2 change as a function of vaccination. To determine changes in antibody titers as a function of vaccination with autologous, irradiated melanoma cells engineered to secrete GM-CSF for patient K008, the established UBF-2 ELISA was used to quantify antibody titers at several time points related to vaccinations (Fig. 1B). The resulting pattern of reactivity revealed a dramatic increase immediately following the fifth vaccination. This corresponds to the clinical time point when the patient's abdominal wall mass was reported to have become clinically more prominent with accompanying erythema.
To investigate further the importance of high-titer antibodies to UBF-2 in patients with cancer, ELISA time courses were done for the vaccinated patients with the highest antibody titers, patient M26 (Fig. 1C) and patient M28 (Fig. 1D), both of whom experienced extended clinical courses following vaccination. Time courses relevant to these patients revealed significant changes in antibody titers as a function of vaccination. Given the high antibody titers to UBF-2 present in patient M28 (sera diluted 1:300,000), time courses for the IgG isotypes were done. Interestingly, there was an inverse relationship in the changes as a function of vaccination in IgG1 titers compared with the changes in total IgG, IgG2, IgG3, and IgG4 (Fig. 1E).
Titers to multiple autoantigens change as a function of vaccination for patient K008. Similar patterns of changing antibody titers to UBF-2 were also observed in ELISA time courses using recombinant proteins representing two other gene products identified in the primary antibody screening for patient K008, ATP6S1 (previously reported) and OGFr (Fig. 2A). These patterns include a common spike immediately following the fifth vaccination. In contrast, antibody titers to candida and mumps antigens did not change significantly as a function of vaccination (10).
Antibody titers of melanoma patient K008 against multiple antigens identified by SEREX using postvaccination sera as a function of vaccination. ELISA with bacterial-expressed protein. Sera at a 1:1,000 dilution. Arrows, times of vaccination. Coordinated increases in antibody titers to UBF and ATP6S1 (A; previously reported; ref. 10) and OGFr (B; ref. 9). Increases in antibody titers to three functionally related proteins: FAK (C), AKT2 (D), and HIDA (E).
Antibody titers of melanoma patient K008 against multiple antigens identified by SEREX using postvaccination sera as a function of vaccination. ELISA with bacterial-expressed protein. Sera at a 1:1,000 dilution. Arrows, times of vaccination. Coordinated increases in antibody titers to UBF and ATP6S1 (A; previously reported; ref. 10) and OGFr (B; ref. 9). Increases in antibody titers to three functionally related proteins: FAK (C), AKT2 (D), and HIDA (E).
Recent advances have greatly expanded our understanding of melanoma genetics and the cell signaling pathways involved in the development and propagation of the disease. Many of the key components in melanoma tumorigenesis are being investigated as targets of small-molecule therapeutics, alone and in combination with other treatments such as chemotherapy. From a basic assumption that the immune system will function to recognize key components involved in cancer development and metastasis, we also investigated the immune responses in our patients to several known signaling proteins. These additional targets were chosen based on SEREX screening identification in murine GVAX models as well as related proteins in implicated signaling pathways. For this purpose, recombinant proteins that could technically be manufactured involving RAS, RAF, mitogen-activated protein kinase, phosphatidylinositol 3-kinase (PI3K), AKT (courtesy of William Sellers, Novartis Institutes for Biomedical Research, Cambridge, MA), and cell motility pathways were investigated.
Recombinant proteins for FAK, AKT2, and HIDA (identified through SEREX screening of a murine B16 cDNA expression library with post-GVAX sera and later found to be a tumor rejection antigen in a DNA vaccination model) were used to establish ELISAs to assess first for changes in antibody titers in patient K008 sera as a function of vaccination. Patient K008 developed 3- to 4-fold increases in antibody titers to all three recombinant proteins as a function of vaccination (Fig. 2B). This includes common peaks in antibody titers at the time point following her fifth vaccination when the patient experienced intense erythema and edema of an abdominal wall metastasis before its surgical removal. Interestingly, no significant antibody titers were detected in any of our patients for related proteins AKT1, AKT3, and BRAF (wild-type and V600E-mutated proteins; data not shown).
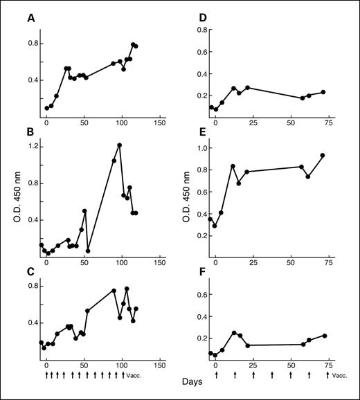
Coordinated immune responses to multiple antigens exist for a second melanoma patient with a favorable clinical outcome to vaccination. To investigate whether the coordinated immune responses to multiple antigens observed for patient K008 was present for another long-term surviving melanoma patient (Table 1) following vaccination, we did ELISAs of vaccination time courses to known reactive antigens. Patient K030/M34 showed coordinated immune responses to ATP6S1, FAK, and AKT2 as a function of vaccination (Fig. 3A-C). These time courses have similar patterns of changing antibody titers as a function of vaccination with different relative amplifications for each antigen target tested.
A, antibody titers of melanoma patient K030/M34 against multiple antigens, ATP6S1 (A; ref. 10), FAK (B), and AKT2 (C), as a function of vaccination. ELISA with bacterial-expressed protein. Sera at a 1:1,000 dilution. Arrows, times of vaccination. Antibody titers of lung cancer patient L1 against multiple antigens, UBF (D), ATP6S1 (E; ref. 10), and HIDA (F), as a function of vaccination. ELISA with bacterial-expressed protein. Sera at a 1:1,000 dilution. Arrows, times of vaccination.
A, antibody titers of melanoma patient K030/M34 against multiple antigens, ATP6S1 (A; ref. 10), FAK (B), and AKT2 (C), as a function of vaccination. ELISA with bacterial-expressed protein. Sera at a 1:1,000 dilution. Arrows, times of vaccination. Antibody titers of lung cancer patient L1 against multiple antigens, UBF (D), ATP6S1 (E; ref. 10), and HIDA (F), as a function of vaccination. ELISA with bacterial-expressed protein. Sera at a 1:1,000 dilution. Arrows, times of vaccination.
Coordinated immune responses to multiple antigens exist for a non–small cell lung cancer patient who received autologous, irradiated tumor cells engineered to secrete GM-CSF. To investigate whether the observed coordinated immune responses to multiple antigens for two long-term surviving melanoma patients were applicable to a vaccinated patient with non–small cell lung cancer with a favorable clinical response, we did ELISAs of vaccinated time courses to the panel of known reactive antigens. Vaccinated lung cancer patient L1, who had a prolonged survival with attenuated disease progression as well as lymphocytic infiltrates associated with tumor destruction in distant metastases, showed a coordinated immune response to UBF-2, ATP6S1, and HIDA (Fig. 3D-F).
To better quantify the magnitude of the immune responses to multiple antigens in individual patients, the fold increases in antibody titers as a function of vaccination were determined by comparing signals from dilutions of the peak time point with that from undiluted prevaccination sera (Table 3A).
Antibody changes to autoantigens
| A. Antibodies to autoantigen targets increase in response to vaccination . | . | . | . | . | ||||
|---|---|---|---|---|---|---|---|---|
| Patient . | . | Target . | . | Fold increase . | ||||
| K008 | ATP6S1 | 12 | ||||||
| UBF | 4 | |||||||
| OGFr | 6 | |||||||
| FAK | 3 | |||||||
| AKT2 | 3 | |||||||
| HIDA | 4 | |||||||
| K030/M34 | ATP6S1 | 8 | ||||||
| FAK | 12 | |||||||
| AKT2 | 6 | |||||||
| L1 | UBF | 3 | ||||||
| ATP6S1 | 4 | |||||||
| HIDA | 3 | |||||||
| B. Petit serologies | ||||||||
| Clone | Pre | Post 1 | Post 2 | Post 3 | ||||
| KIAA0603/tbc-1 | + | ++ | +++ | ++ | ||||
| TPR/UBP3 | + | +++ | ++++ | ++ | ||||
| KIAA0470/KARP-1 | ++ | +++ | +++ | +++ | ||||
| Ankyrin | + | ++ | ++ | ++ | ||||
| A. Antibodies to autoantigen targets increase in response to vaccination . | . | . | . | . | ||||
|---|---|---|---|---|---|---|---|---|
| Patient . | . | Target . | . | Fold increase . | ||||
| K008 | ATP6S1 | 12 | ||||||
| UBF | 4 | |||||||
| OGFr | 6 | |||||||
| FAK | 3 | |||||||
| AKT2 | 3 | |||||||
| HIDA | 4 | |||||||
| K030/M34 | ATP6S1 | 8 | ||||||
| FAK | 12 | |||||||
| AKT2 | 6 | |||||||
| L1 | UBF | 3 | ||||||
| ATP6S1 | 4 | |||||||
| HIDA | 3 | |||||||
| B. Petit serologies | ||||||||
| Clone | Pre | Post 1 | Post 2 | Post 3 | ||||
| KIAA0603/tbc-1 | + | ++ | +++ | ++ | ||||
| TPR/UBP3 | + | +++ | ++++ | ++ | ||||
| KIAA0470/KARP-1 | ++ | +++ | +++ | +++ | ||||
| Ankyrin | + | ++ | ++ | ++ | ||||
NOTE: A, fold change in antibody titers as a function of vaccination for multiple antigen targets. Sera from time points representative of the highest antibody titers to specific antigens were serially diluted and compared with undiluted prevaccinated sera in individual patients. B, petit serologies representing qualitative changes in antibody titers to four phage clones identified as a function of vaccination.
Abbreviation: KARP-1, Ku86 autoantigen-related protein-1.
Due to their large molecular sizes, technical difficulties in making full-length recombinant proteins for the remaining gene products for which sera from patient K008 reacted against in phage plaque assays prevented the establishment of ELISAs. Phage plaque assays were therefore used to qualitatively assess the sera reactivity against phage clones containing KIAA0603, TPR/UBP, KIAA0470, and the unknown ankyrin homologue gene products. Sera from patient K008 at time points before vaccination and three time points following initiation of vaccination separated by a month were used (Table 3B). These “petit serologies” (example, Fig. 4) suggest increases in antibody titers at the time point of the observed antibody spike for the antigens tested by ELISA compared with time points before or after the spike. These patterns of reactivity were observed up to sera dilutions of 1:32,000. Dilutions of sera at 1:64,000 lost signal for all three time points (data not shown).
Example of petit serologies showing changes in antibody titers to a phage clone as a function of vaccination. Sera were tested before vaccination and at three additional time points after vaccination separated by 1 mo. Cloned phage representing candidate antigen was mixed 1:1 with phage-negative control to depict specific sera reactivity.
Example of petit serologies showing changes in antibody titers to a phage clone as a function of vaccination. Sera were tested before vaccination and at three additional time points after vaccination separated by 1 mo. Cloned phage representing candidate antigen was mixed 1:1 with phage-negative control to depict specific sera reactivity.
Serologic profiles of long-term surviving patients compared with patients with progressive disease. We next wanted to gain a better understanding about serologic profiles of patients who had long-term survival following treatment versus patients who progressed. Of 32 melanoma and 19 lung cancer patients who received vaccinations, 17 had detectable titers to ATP6S1 by ELISA, 18 had detectable titers to UBF-2, 12 had detectable titers to HIDA, 11 had detectable titers to AKT2, and 9 had detectable titers to FAK. We did ELISA time courses to assess for changes in antigen titers as a function of vaccination in these patients. Four patients were noted to have significant increased titers to ATP6S1 as a function of treatment, five patients had significant changes to UBF-2, two patients with significant changes to HIDA, and two patients with significant changes to AKT2. The remaining patients had no changes in antibody titers as a function of vaccination and were not long-term survivors. For ATP6S1, three of the four patients were responding or long-term surviving patients described (K008, K030/M34, and L1). The fourth patient had progressive disease following treatment. For UBF-2, four patients were long-term survivors (K008, K030/M34, L1, and M28), and one patient had an extended clinical course (M26). Patients K008 and K030/M34 were two of the patients who had responses to FAK. The third patient had progressive disease following treatment. Both patient K008 and L1 had significant changes in antibody titers to HIDA as a function of vaccination. The two patients responding to AKT2 were K008 and K030/M34. The serologic profile of coordinated immune responses to multiple antigens as a function of vaccination seemed to distinguish long-term surviving patients.
Discussion
The current study reveals the range of antigenic targets responding to a whole-cell cancer vaccine. Of the known gene products, all are intracellular proteins and possess known roles in cell division or tumorigenesis. Whether these antigens are processed and expressed on the cell surface for direct effects by antibodies and whether they are targets of cellular immune responses require further investigation. UBF and BRAP2 have previously been identified by SEREX in a gastric carcinoma library. The remaining clones have not been previously reported to the best of our knowledge.
Therapies that have led to the development of targeted specific immune responses against the best-defined antigens to date, such as the melanosomal differentiation antigens and the cancer-testis antigens, have overall been disappointing, revealing limited measurable immune responses and rare cases of clinical benefit. The antibody titer time courses for patient K008, disease-free for 8 years following a complete response to vaccination with resolution of lung and soft tissue metastases, reveal a mid-treatment spike in antibody titers for seven antigens (three recombinant proteins by ELISA and four phage plaque assays) correlating clinically with tumor inflammation and destruction. These data suggest the occurrence of concerted immunologic antitumor reactivity at a clinically meaningful time point for this patient.
The potential oncologic significance of UBF-2 recognition by the immune system is highlighted by its function. In dividing eukaryotic cells, nucleoli disperse before mitosis and reform in progeny at sites of rRNA gene clusters. Such constrictions on chromosomes are referred to as nucleolus organizing regions (NOR; ref. 12). Morphologic and quantitative differences in NORs exist between benign and malignant cells. Malignant cells have significantly increased numbers of NORs with specific staining for UBF showing overexpression. rRNA transcriptional activity, as revealed by the concentration of UBF and nucleolar size, is inversely proportional to tumor cell doubling time (13). UBF has also been found to be a target for cisplatin chemotherapy, contributing further to its relevance in cancer (14–16). Overexpression in malignant cells as well as its vital importance in cellular function offer UBF as an intriguing cancer therapeutic target.
The discovery of UBF-2 as a unique tumor antigen raises interesting possibilities for its role in antitumor immunity. High-titer IgG antibodies recognizing NORs were first discovered in patients with scleroderma (17). The NOR component recognized was 90 kDa and later was identified to be UBF (18). High-titer antibodies against NOR-90 (UBF) were thought to have a disease association with scleroderma. It was later determined that the incidence of high-titer antibodies against UBF by Western blot analyses is rare (19, 20). Our data confirm that high-titer reactivity against UBF-2 is a rare event, with patient K008 having the greatest reactivity. The patterns of reactivity in the time courses for K008, however, suggest common mechanisms for the development of these multiple antigen responses.
Recombinant proteins were available for several functionally related gene products to the antigens identified by SEREX screening (i.e., FAK, AKT2, and HIDA). These proteins are known to function in malignant transformation and tumorigenesis. FAK regulates signaling from the extracellular domain to the actin cytoskeleton, thus regulating growth factor–induced mitosis, cell survival, and cell locomotion (21, 22). It is under the regulation of tyrosine kinases and small GTPases of the Rho family, which are overexpressed in several types of cancers, including melanomas, and is crucial for cell proliferation, migration, and adhesion. Importantly, the FAK signaling pathway has been implicated in promoting an aggressive melanoma phenotype (23), making FAK an attractive therapeutic target. AKT2, also referred to as protein kinase B, is a serine/threonine kinase that when activated signals downstream PI3K (24), promoting proliferation and increased cell survival. The AKT family of proteins is activated in many types of human cancers due to gene amplification or mutations in the signaling pathway. Expression of phosphorylated AKT increases with melanoma invasion and progression and is inversely correlated with survival (25). HIDA is associated with Id protein that blocks cell differentiation and drives proliferation (26, 27). It is frequently dysregulated in advanced human malignancies, leading to oncogenic transformation, self-sufficient growth signals, neoangiogenesis, and locomotion (28). It is also known to bind to phosphorylated Rb. Id1 has recently been associated with transcriptional regulation in the radial growth phase of primary melanomas (29), functions as an angiogenic factor through hypoxia-inducible factor-1α in hepatocellular carcinoma (30), and is implicated into transforming growth factor-β1 suppression of prostate cancer cells (31).
Despite the coordinated immune responses to multiple antigens, there was lack of responses to several related gene products by Western and ELISA, such as AKT1 and AKT3. Specifically, BRAF, mutated in >50% of melanomas and being targeted in many clinical trials, was not significantly immunogenic. It has been previously reported that BRAF-specific antibody responses are infrequent in melanoma patients (32). Interestingly, mutated BRAF has been shown in vitro to stimulate CD4+ lymphocytes from melanoma patients (33) and spontaneous HLA-B*2705–restricted cytotoxic T cells against the mutated epitope have been previously described (34). This suggests that the recognition of autoantigens in cancer patients can be complex for both humoral and cellular immunity, potentially involving multiple targets while remaining specific to the subset of targets.
The association of autoantibodies and cancer has been well established previously. An increased prevalence of smooth muscle and antinuclear antibodies exists in patients with malignant disease (35). In one study of 100 patients with breast cancer and 75 age-matched controls, antinuclear antibodies and smooth muscle antibodies were more frequent in cancer patients than controls (P < 0.005; ref. 36). The incidence of autoantibodies at the time of diagnosis was higher in patients who relapsed or developed metastatic disease than those patients free from recurrence (P < 0.05). In patients with bronchial carcinoma, smooth muscle antibodies are increased in undifferentiated carcinoma and antinuclear antibody is increased in adenocarcinoma (37). Smooth muscle antibodies have been reported to be increased in patients with squamous carcinoma of the cervix and malignant melanoma. In mesothelioma, 8 of 29 patients with high-titer IgG antibodies recognizing cell lines had antibody titers that increased with progression of disease with six of the antigen complexes expressed in the nucleus. Increased antinuclear antibody has been noted in adenocarcinoma of the corpus uteri, chronic lesions of the cervix, malignant melanoma, nonmalignant pigmented skin lesions, and basal cell carcinoma. Antinuclear antibody was detected with higher frequencies in hepatocellular carcinoma (increased nucleolar staining) than in patients with antecedent conditions, such as cirrhosis and chronic hepatitis (38–40), suggesting immune recognition with disease progression. In patients with malignant melanoma, the percentage of patients showing nucleolar staining increases with more advanced disease. Twenty-six percent of patients with disease limited to the skin showed nucleolar staining, 30% for patients with melanoma that had spread to the lymph nodes, and 55% for patients with metastatic disease beyond the local region.
Several studies further suggest that autoreactivity and clinical autoimmunity are associated with improved clinical outcomes for cancer patients. Reactive antibodies against autologous small cell lung cancer cells are associated with improved survival (41). In addition, it has long been noted that patients with metastatic melanoma who develop vitiligo have an improved survival. Recently, the appearance of autoantibodies or clinical development of autoimmunity in melanoma patients receiving high-dose IFN-α-2b has shown a statistically significant improvement in relapse-free and overall survival (42). Furthermore, treatment of cancer patients with fully human monoclonal antagonist antibodies to CTLA-4 has a significant incidence of autoimmune phenomena, the most frequent being a clinical picture similar to inflammatory bowel disease. It has been suggested by several investigators that patients who develop autoimmunity while receiving CTLA-4 blockade have improved antitumor responses (43–45). There remains a clear distinction between reactivity to autoantigens and the development of clinically significant autoimmunity. Identification of the targets of these reactions is the first step in discerning mechanistically what is shared and when the ability exists to separate wanted antitumor benefits from unwanted clinical autoimmune events.
Although the significance of autoantibodies in cancer patients has been obscure, our data suggest an importance for such targets in antitumor immunity. UBF-2 and other serologically identified targets with expression in normal tissues represent antigens recognized by cancer patients and some healthy individuals. Although the mechanism of autoantibody production is unclear, antibodies in patients with autoimmune disorders inhibit key functional portions of their targets. Future studies are needed to determine the existence of coordinated humoral and cellular immune responses against these antigens. Given the patterns of sera reactivity revealed for UBF-2, studies to determine the cancer incidence in apparently healthy individuals developing these antibodies are warranted. In murine models, it has been suggested that GM-CSF may convert an autoimmune response to a self-antigen into an antitumor response via increasing numbers of dendritic cells in lymph nodes and spleen (46). Interestingly, despite the development of high-titer antibodies to several widely expressed targets that include expression in normal tissues, none of the patients receiving the GM-CSF–based vaccine developed clinical evidence for autoimmunity. This further brings into question what antigens are best targets for effective antitumor immunity while avoiding the clinical consequences of breaking tolerance.
When designing future immune therapy clinical investigation for cancer treatment, the potential significance of targeting multiple antigens versus the response to a single tumor rejection antigen should be considered. The antigens reported here provide an array of proteins involving key components of cell division and tumorigenesis. There exists strong evidence that the immunologic identification of human tumor antigens leads to the discovery of key components of cell signaling and melanoma tumorigenesis (47). Some antigens are cell surface expressed or processed and fragments transiently shuttled to the cell surface, thus possibly being effective targets for humoral immunity or cellular immune responses.
Identifying target antigens to autologous GM-CSF vaccination will assist in the development of future vaccination strategies. The pattern of coordinated immune responses to multiple antigens for long-term surviving patients suggests a different serologic profile than that for patients who progress following treatment. This approach further shows the ability of whole-cell vaccination strategies to augment concerted immune responses against a subset of autoantigens that is associated with clinically significant immune-mediated tumor destruction without the development of clinically significant autoimmunity.
Disclosure of Potential Conflicts of Interest
No potential conflicts of interest were disclosed.
Grant support: Berlex Oncology Foundation and National Cancer Institute grant CA78880 (F.S. Hodi) and Cancer Research Institute/Partridge Foundation Clinical Investigator Award and Cancer Research Institute Melanoma Initiative (G. Dranoff). G. Dranoff and R. Salgia are Clinical Scholars of the Leukemia and Lymphoma Society.
The costs of publication of this article were defrayed in part by the payment of page charges. This article must therefore be hereby marked advertisement in accordance with 18 U.S.C. Section 1734 solely to indicate this fact.



