Abstract
Ongoing intratumoral evolution is apparent in molecular variations among cancer cells from different regions of the same tumor, but genetic data alone provide little insight into environmental selection forces and cellular phenotypic adaptations that govern the underlying Darwinian dynamics. In three spontaneous murine cancers (prostate cancers in TRAMP and PTEN mice, pancreatic cancer in KPC mice), we identified two subpopulations with distinct niche construction adaptive strategies that remained stable in culture: (i) invasive cells that produce an acidic environment via upregulated aerobic glycolysis; and (ii) noninvasive cells that were angiogenic and metabolically near-normal. Darwinian interactions of these subpopulations were investigated in TRAMP prostate cancers. Computer simulations demonstrated invasive, acid-producing (C2) cells maintain a fitness advantage over noninvasive, angiogenic (C3) cells by promoting invasion and reducing efficacy of immune response. Immunohistochemical analysis of untreated tumors confirmed that C2 cells were invariably more abundant than C3 cells. However, the C2 adaptive strategy phenotype incurred a significant cost due to inefficient energy production (i.e., aerobic glycolysis) and depletion of resources for adaptations to an acidic environment. Mathematical model simulations predicted that small perturbations of the microenvironmental extracellular pH (pHe) could invert the cost/benefit ratio of the C2 strategy and select for C3 cells. In vivo, 200 mmol/L NaHCO3 added to the drinking water of 4-week-old TRAMP mice increased the intraprostatic pHe by 0.2 units and promoted proliferation of noninvasive C3 cells, which remained confined within the ducts so that primary cancer did not develop. A 0.2 pHe increase in established tumors increased the fraction of C3 cells and signficantly diminished growth of primary and metastatic tumors. In an experimental tumor construct, MCF7 and MDA-MB-231 breast cancer cells were coinjected into the mammary fat pad of SCID mice. C2-like MDA-MB-231 cells dominated in untreated animals, but C3-like MCF7 cells were selected and tumor growth slowed when intratumoral pHe was increased. Overall, our data support the use of mathematical modeling of intratumoral Darwinian interactions of environmental selection forces and cancer cell adaptive strategies. These models allow the tumor to be steered into a less invasive pathway through the application of small but selective biological force. Cancer Res; 77(9); 2242–54. ©2017 AACR.
Defining intratumoral subpopulations by their adaptive strategies rather than the molecular properties used in branching clonal evolution models allows the cellular and environmental interactions to be identified and framed mathematically. With sufficient understanding of the underlying eco-evolutionary forces, the tendency of complex dynamic systems to magnify small perturbations can be exploited to steer a tumor into a noninvasive growth regime by applying relatively small biological perturbations.
Here, we build upon a previously developed and experimentally validated hybrid multiscale mathematical model of cancer growth that incorporates the production of acid and acquired resistance to extracellular pH (4, 5). This model simulates a two-dimensional (2D) slice through a tumor and includes cellular metabolism and a dynamic vasculature. The scales of intracellular metabolism, cellular behavior, and tissue microenvironment are coupled by using a cellular automaton (CA) along with partial differential equations (PDE). The model is fully described in the reference provided and summarized here.
The model consists of normal cells, tumor cells, vasculature, and empty space. The vasculature is a set of point sources spread through the 2D domain, seeded with spacing consistent with those measured in normal stroma. These serve as boundary conditions that deliver nutrients into the surrounding tissue via diffusion and act as sinks for extracellular acid. Molecular concentrations are calculated using a set of reaction–diffusion PDEs. As the timescales of metabolism and cellular behavior, such as proliferation, are significantly different, we solve the PDEs to reach steady state between each step of the CA.
The internal metabolic network of each cell consists of glycolysis, oxidative phosphorylation, and acid production. Oxygen conditions dictate the baseline metabolism, essentially inducing a Pasteur effect when hypoxia develops; therefore, all cells exhibit a range of metabolic behaviors depending on the microenvironmental conditions. The concentration of diffusible molecules [oxygen (O), glucose (G), and protons (H)] is described by the set of PDE:
where C is the concentration, D is the diffusion constant, and f(x,t) is the consumption or production rate of the particular molecule. Oxygen consumption (fO) by cells is given by
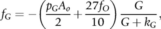
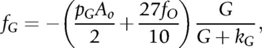
where VO is the maximal oxygen consumption by cells and kO is the concentration at which half maximal consumption occurs. Glucose consumption (fG) by cells is given by
where Ao is the normal target ATP production rate, kG is the concentration at which half maximal consumption occurs, and pG is the cell parameter representing aerobic glycolysis. For normal cells, pG = 1, whereas for tumor cells, it is one of the phenotypes allowed to change upon proliferation (see below). The ATP production rate (fA) is given by
and proton production (fH) is given by
where kH is a buffering parameter.
Figure 3A shows the mechanistic interactions between normal cells, tumor cells, the vasculature, and diffusible substances that were used in the model. Normal cells only proliferate if the density of their neighbors falls below a certain amount (∼80%); tumor cells can proliferate to fill all available space. Tumor cells can evolve across two phenotypic traits: the glycolytic capacity (x-axis of Fig. 3C) with drift rate ΔG and the resistance to acidosis (y-axis) with drift rate ΔH. Increased glycolysis in a tumor cell essentially increases the absolute levels of glucose consumption by the cell, while still being sensitive to hypoxic influence through the Pasteur effect. Increases in glycolysis cause an excess of pyruvate, leading to generation of acidosis. We do not model the other pathways, such as pentose phosphate, that are also beneficiaries of increased glycolysis. Resistance to acidosis is a development of lower pH thresholds in the model for which the cell enters quiescence or apoptosis due to the acidity. Drift rates are unbiased, so that any change in median phenotype of the population is due to selection.
The CA decision flowchart is shown in Fig. 3B. The primary function of the vasculature in this model is to spatiotemporally deliver nutrients, drugs, and remove waste products, and although the point-source system is simplification, it is sufficient to create gradients of pH and nutrient concentrations that are dependent on vessel density. The vasculature is dynamic. Angiogenesis will add blood vessels to hypoxic regions until normoxia is attained, and vessels can be degraded by the growth of nearby tumor cells (e.g., representing blood vessel leakiness, collapse, and constriction).
We include a cost associated with the acquisition of these two traits: (i) Cells with maximal acid resistance will have a cell-cycle duration that is double that of normal cells; (ii) cells with the highest glycolytic capacity will have double the cell cycle time compared with metabolically normal cells. These costs are independent and multiplicative, so that a cell with maximal acquisition of both traits will take four times longer to divide. The cost varies linearly between the phenotypic extremes. In this model, we doubled the rates of phenotypic drift, ΔH and ΔG, to 0.003 and 0.15, respectively, as compared with the previously published work.
The initial condition used for the simulations of primary tumor growth is a hollow duct with a layer of metabolically normal tumor cells along the duct wall. The duct contains no blood vessels; outside the duct are normal cells and vasculature. For metastatic simulations, a single cell was seeded into a normal tissue initial condition.
Additional model details are given in the Supplementary Material along with a table of parameters (Supplementary Table S1).
Introduction
Several recent studies have demonstrated multiple genetically distinct populations within human cancers (1, 2) as a result of ongoing evolution. We note, however, that genetic characteristics alone provide little insight into the environmental selection pressures and cellular adaptive strategies that are the logical cause → effect links that govern Darwinian dynamics (3). Here, we approach intratumoral evolution as a dynamical interaction among subpopulations defined not by their molecular properties but by adaptive strategies and the interactions of those strategies with microenvironmental properties.
We address three general questions: (i) Can we define adaptive strategies that are common among different cancers? (ii) What are the evolutionary dynamics that govern the intratumoral competition among subpopulations? (iii) How do these Darwinian interactions at cellular and molecular scales affect tissue-scale changes in tumor growth?
We address the first question by investigating tumor subpopulations obtained from tumors in TRAMP, PTEN, and KPC animals that are genetically engineered to form primary cancers (6–8). In some cases (PTEN and TRAMP), subpopulations were derived from the same tumors. In each tumor, we find two coexisting subpopulations with different adaptive strategies that remain stable in culture:
An invasive phenotype that produces excess acid through upregulation of fermentative glucose pathways even in the presence of oxygen.
A noninvasive, angiogenic, nonmotile phenotype that maintains near-normal glucose metabolism.
Coexistent invasive and angiogenic subpopulations have been reported in other mouse tumors (9) as well clinical breast cancers (10), colon cancers (11), skin cancers (12), and glioblastoma multiforme (13), suggesting this is a general phenomenon.
We address the second question by applying a multiscale mathematical model (vide supra; refs. 4, 5, 14) to define the eco-evolutionary competition among the adaptive strategies. Model simulations demonstrated the invasive glycolytic subpopulation is typically fitter and, thus, more abundant within most tumor environments. However, model simulations also demonstrated that, if this cost/benefit ratio for the invasive phenotype is inverted by small increases in cost or decreases in benefit, the Darwinian dynamics could be reversed, causing a marked decline in the invasive population.
These predictions were tested in the TRAMP mouse model, which develops primary prostate cancers at approximately 12 weeks of age and dies of disseminated disease within 52 weeks. IHC of the subpopulations in primary and metastatic lesions confirmed model predictions that the invasive, acid-producing, glycolytic phenotype (termed C2) is the most abundant population. We then increased intratumoral extracellular pH (pHe) 0.2 units by adding 200 mmol/L NaHCO3 to the drinking water (15, 16) at age 4 weeks when tumors were confined to the ducts (i.e., in situ or prostate Intraepithelial neoplasia lesions). At necropsy, this produced a significant population shift favoring the noninvasive, angiogenic, non–acid-producing (termed C3) phenotype. A similar increase in pHe of established tumors required 400 mmol/L NaHCO3 added to the water, and, at necropsy, the C3 phenotype was the dominant population in these tumors.
To address the third question, we observed that, in the 4-week–treated cohort, because the C3 phenotypes did not penetrate the basement membrane, the tumor remained almost entirely intraductal, preventing the development of invasive primary tumors. Similarly, in the cohort with established tumors, primary and metastatic growth was significantly reduced.
We further investigated questions 2 and 3 in an experimental tumor constructed from a mixture of the invasive human breast cancer cell line MDA-MB-231 and the noninvasive human breast cancer cell line MCF7 coinjected into the mammary fat pad of nude mice. In vitro, the MDA-MB-231 cells exhibited a C2-like phenotype with high levels of motility and significantly upregulated aerobic glycolysis and acid production. The MCF7 cells were C3-like with near-normal glucose metabolism and low levels of motility and invasion. In vivo, MCF7 cells are highly angiogenic (17). Similar to C2/C3 dichotomy, MDA-MB-231 cells were the dominant population in untreated animals. However, when NaHCO3 was added to the drinking water, the MCF7 population greatly increased and the MDA-MB-231 population decreased, and tumor growth markedly slowed.
Materials and Methods
Cell culture
Experiments were performed using mouse TRAMP-C2, TRAMP-C3 cell lines, obtained from ATCC (ATCC, CRL-2731, - 2733). Both cell lines were grown in DMEM media supplemented with 10% FBS, 1% penicillin/streptomycin, 100 nmol/L DHEA, and 0.005 mg/mL insulin. The MCF7 cells, MDA-MB-231, PTEN-P8, and PTEN-CaP8 cell lines were acquired from ATCC (ATCC, CRL-3033, -3031) and maintained in RPMI medium 1640 (Life Technologies Gibco, 11875-093) supplemented with 10% FBS (HyClone Laboratories) under standard cell culture conditions. UN-KPC-960 and UN-KPC-961 pancreatic cell lines were obtained via MTA from Dr. Batra (University of Nebraska Medical Center, Omaha, NE) and maintained in DMEM containing heat-inactivated FBS, l-glutamine (200 mmol/L), 100× nonessential amino acids (100 mmol/L), sodium bicarbonate, HEPES buffer, gentamicin (50 mg/mL), and penicillin/streptomycin (100 μg/mL). All cells were maintained in 37°C and 5% CO2. All steps were performed under sterile conditions in a tissue culture hood.
All cells were used within 6 months of purchase and have been reauthenticated by short tandem repeat (STR) analysis. All cells were obtained between years 2012 and 2015. All cells except MDA-MB-231 were used in passages below 16. All cells were mycoplasma free. All cells except MCF7 cells, MDA-MB-231, were used within 6 months from arrival. MCF7 cells, MDA-MB-231, have been authenticated by STR analysis in the Molecular Biology Core at Moffitt Cancer Center (Tampa, FL).
Animal, breeding, and treatment
The TRAMP mice breeding was described previously (18). In brief, the breeding colony was developed using the heterozygous female mice expressing the TRAMP transgene crossed with nontransgenic C587BL/6 male mice (also obtained from The Jackson Laboratory) and the progeny subjected to ear punch genotyping. Animals were maintained in a clean facility (USF Vivarium, at the Moffitt Cancer Research Center) in accordance with NIH Guide for the Care and Use of Laboratory Animals and the local Institutional Animal Care and Use Committee guidelines. The 4 weeks old obtained TRAMP mice were randomly distributed into positive control and treated groups. Sodium bicarbonate (200 or 400 mmol/L) was dissolved in tap water and given to the TRAMP mice to drink starting at either 4 weeks old and or 10 weeks old. The water consumption and weight of the mice were monitored and compared with the mice drinking tap water (controls). Nontransgenic mice were included as a negative control. Numbers of animals used are included in the figure legend of the corresponding experiment.
A cohort of 30 nu/nu mice (Harlan) was injected in the mammary fat pad with 1 × 107 MDA-MB-231 cells or 1 × 107 MCF7 cells, or a mix composed by 5× 106 of each of the previous cell lines. One week prior to the cell injection, an estrogen pellet (0.72 mg low release, Innovative Research of America) was implanted in all mice. Three days after tumor injection, the mice were randomly separated in treated and nontreated (control) groups: n = 4 for control groups, and n = 6 for treated groups. Treated mice had 400 mmol/L of bicarbonate in the drinking water, whereas the others had regular tap water. Tumor volumes were measured once a week using MRI T2-fast spin echo pulse sequence (TE/TR = 60/900 ms), with an axial in-plane resolution of 273 μm, and a slice thickness of 1.5 mm. Five weeks after the experiment started, tumors were collected and stained for hematoxylin and eosin (H&E) and estrogen receptor (ER) expression. The IHC slices were analyzed as it is explained below in the Histology section.
Oxygen consumption and extracellular acidification measurements
Real-time basal oxygen consumption (OCR) and extracellular acidification rates (ECAR) for TRAMP-C2 and C3, MCF7, MDA-MB-231, PTEN-P8, PTEN-CaP8, KPC 960, KPC 961 cell lines, and normal human primary prostate epithelial cells (PCS) were determined using the Seahorse Extracellular Flux (XF-96) analyzer (Seahorse Bioscience). The XF-96 measures the concentration of oxygen and free protons in the medium above a monolayer of cells in real time. Cells seeded in an XF microplate were cultured for 2 hours in the presence or absence of 2 g/L d-glucose prior to OCR and ECAR measurements. Protein concentration was determined for each well using a standard BCA protein assay. OCR and ECAR values were normalized to mg/protein and plotted as the mean ± SD. Sample size was not computed prior to assay design. In Seahorse assays, on any given day, multiple independent wells (sample replicates) were assayed per group, and each measurement was repeated 3 to 5 times per condition (technical replicates), and the assays were performed independently multiple times (biological replicates). For PTEN-P8 and PTEN-CaP8 cells, there were three biological, five assay, and four technical replicates per group per test per assay. Among these, two different concentrations of oligomycin were used to ensure maximal effective doses were achieved (1 and 2 μmol/L). Both doses yielded identical results, so 1 μmol/L oligomycin was used for subsequent biological replicates. For KPC 960 and KPC961, respectively, 1 biological, 11 and 8 sample, and 4 technical replicates were assayed,. For MCF7, MDA-MB-231, TRAMP C2, TRAMP C3, and PCS, two biological, 8 sample, and 3 to 4 technical replicates were used per cell line per assay. Statistical analysis used unpaired t test with Welch correction assuming Gaussian distribution.
Blood sodium measurement
The blood sodium concentration was obtained using an iSTAT Portable Clinical Analyzer (Abaxis) with CG8+ cartridges. Blood samples (about 200 μL) were obtained from cardiac stick of the mouse and inserted to the cartridge, and readings were recorded according to the manufacturer's specifications.
Measurements of MMPSense 680 activity in vivo
TRAMP mice from Tap, 400 mmol/L NaHCO3 at 4 weeks and 10 weeks (n = 6 for each cohort) were imaged at 32 weeks old. Twenty-four hours before imaging, mice were injected intravenously with activatable fluorescent probe, MMPSense 680 (PerkinElmer). Mice were then imaged in vivo using the FMT2500 (PerkinElmer) tomographic imaging system. Region of interest was quantified and normalized using an internal standard.
Quantitative PCR
All qRT-PCRs were performed on a 7900HT Fast Real-Time System (Life Technologies Applied Biosystems) using an iScript Real-Rime PCR Kit with SYBR Green (Bio-Rad, 170-8893). GAPDH expression was used as an internal control. mRNA (100 ng) was used per 20 μL reaction. TRIzol (Life Technologies Invitrogen) was used according to the manufacturer's directions for all RNA purification. RNA was isolated from TRAMP-C2 at physiologic pH 7.4 and from low pH (6.7)–treated cell pellets using RNeasy Mini Kit (Qiagen).
Primers for MMP-2 and MMP-9 were obtained from Srikumar Chellepan (H. Lee Moffitt Cancer Center and Research Institute). Primer sequences are included in Supplementary Materials and Methods.
Histology and image analysis
At necropsy, the lung/heart, liver, and genitourinary system were collected. Tissues were processed, embedded in paraffin, and 4 to 5 μm slices of the tissues were obtained. Slides were stained with H&E stain and were graded by a pathologist for presence of tumor tissue. Histology slides were scanned using the Aperio ScanScope XT with a 20×/0.8NA objective lens (200×) at a rate of 2 minutes per slide via Basler trilinear array. An Aperio Positive Pixel Count v9.0 algorithm [with the following thresholds: hue value = 0.1; hue width = 0.5; color saturation threshold = 0.04; IWP(high) = 220; Iwp(low) = Ip(high) = 175; Ip(low) = Isp(high) = 100 Isp(low) = 0] was used to segment positive staining of various intensities. The algorithm was applied to the entire digital core image to determine the percentage of positive biomarker staining by applicable area.
Antibodies
Polyclonal rabbit anti-mouse GLUT-1 antibody was purchased from Millipore (07-1401 used at a concentration of 1:800). Rabbit antibody that reacts to CD31 was purchased from Abcam (ab28364; used at a concentration of 1:200); rabbit antibody that reacts to SMA was purchased from Abcam (ab32575; used at concentration a of 1:250); rabbit antibody that reacts to VEGF was purchased from Abcam (ab46154, used at a concentration of 1:1,500). Rabbit antibody to react to ER was purchased from Abcam (ab32063, used at a concentration of 1:250). Slides were stained using a Ventana Discovery XT automated system (Ventana Medical Systems) as per the manufacturer's protocol with proprietary reagents.
In vitro assay for cell migration and invasion
In vitro motility and invasiveness of C2- and C3-TRAMP cell lines and in vitro motility of MDA-MB-231 and MCF7 were compared by using xCELLigence Real Time Cell Analyzer (RTCA, ACEA Biosciences). For migration assay, cells were plated on the upper chamber containing serum-free media at 2 × 104 cells/well of CIM16 plate, of which lower chambers were filled with serum-free media (negative control) or media containing 10% FBS. The amount of cells migrating toward the lower face of the filter between two chambers was monitored in real time by measuring impedance produced by the cells, cell index. For invasion assay, the filter of the upper chamber was precoated with 10% of basement membrane extract from Cultrex. Cell index changes were monitored up to 24 hours for the migration and 72 hours for the invasion. Migration and invasion assay (xCELLigence) has three biological replicates and n = 8 per cell line per test per assay.
Data processing
Microsoft Excel and GraphPad Prism were used for data processing and to calculate statistical significance, which was set at P ≤ 0.05.
Statistical analyses
A two-tailed unpaired Student t test was employed to determine the statistical significance. P value less than 0.05 was considered statistically significant or otherwise indicated. Mann–Whitney test is a nonparametric statistic, similar to the family of rank-based tests, which was used for migration and invasion assays.
Results
Competing intratumoral populations: C2 and C3 tumor phenotypes
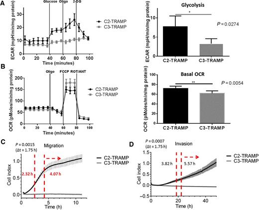
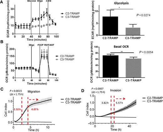
TRAMP-C3 and TRAMP-C2 cell lines were established from different clones isolated from a heterogeneous 32-week TRAMP mouse tumor (6). Both cell lines proliferate in culture and maintain a stable phenotype. In vivo, the TRAMP-C2 line forms invasive tumors, while TRAMP-C3 does not. To examine their metabolic profiles, both cell lines were glucose-starved for 2 hours and subsequently analyzed using a Seahorse extracellular flux (XF) analyzer. As shown in Fig. 1A, TRAMP-C2 cells had significantly (P = 0.027) higher glucose-stimulated acidification rates, compared with TRAMP-C3, indicating higher rates of basal glycolysis. Furthermore, TRAMP-C3 cells were shown to be at near-maximal glycolytic capacity at basal conditions, whereas TRAMP-C2 cells were far from capacity under identical conditions. The basal OCRs of the C2 cell line were also slightly, but significantly (P = 0.0054), higher than that of the C3 cells (Fig. 1B). Combined, the data from Fig. 1A and B indicate a much higher ATP turnover rate for C2 cells, along with much higher reliance on glycolytic fermentation. Addition of the mitochondrial uncoupler, FCCP, yields a maximum potential OCR as a measure of electron transport kinetics and demonstrated significantly higher (P = 0.0082) mitochondrial capacity in the TRAMP-C3, compared with TRAMP-C2 cells.
A–D, In vitro profiling of the tumorigenic TRAMP-C2 and nontumorigenic TRAMP-C3 cell lines. A, Metabolic flux analysis of ECAR was measured in real-time using a Seahorse XFe-96 Analyzer. C2 cells exhibited increased glycolysis, compared with C3 cell line. *, P = 0.0274. Glycolytic capacity was higher in the C2 cells. **, P = 0.001. B, The basal OCR of the two cell lines was not different. The C3 cells had a slight, albeit, significant increase in respiratory capacity. **, P = 0.0082. C, In vitro motility, which was measured by impedance that was caused by migration in both cell lines and recorded by the xCELLigence Real-Time Cell Analyzerinstrument, C2 cells had high migration, and C3 line was not motile. ***, P = 0.0007. D, Invasiveness comparison between C2- and C3- cells measured by increases in impedance; following transwell migration assay, the C2 cells were more invasive. **, P = 0.0015. A Mann–Whitney statistical test was used to show that the two time series curves are from different populations. Both migration and invasion were normalized to proliferation rate.
A–D, In vitro profiling of the tumorigenic TRAMP-C2 and nontumorigenic TRAMP-C3 cell lines. A, Metabolic flux analysis of ECAR was measured in real-time using a Seahorse XFe-96 Analyzer. C2 cells exhibited increased glycolysis, compared with C3 cell line. *, P = 0.0274. Glycolytic capacity was higher in the C2 cells. **, P = 0.001. B, The basal OCR of the two cell lines was not different. The C3 cells had a slight, albeit, significant increase in respiratory capacity. **, P = 0.0082. C, In vitro motility, which was measured by impedance that was caused by migration in both cell lines and recorded by the xCELLigence Real-Time Cell Analyzerinstrument, C2 cells had high migration, and C3 line was not motile. ***, P = 0.0007. D, Invasiveness comparison between C2- and C3- cells measured by increases in impedance; following transwell migration assay, the C2 cells were more invasive. **, P = 0.0015. A Mann–Whitney statistical test was used to show that the two time series curves are from different populations. Both migration and invasion were normalized to proliferation rate.
Combined with the glycolytic analysis (Fig. 1A and B), these results demonstrate that the C3 line produced energy primarily through respiration (i.e., oxidative metabolism), while the C2 cells, typical of an acid-adapted phenotype, were highly glycolytic. Metabolic profiles of the C2 TRAMP cell line in comparison with normal prostate epithelial cell line (PCS) were also measured. The C2 line showed increased glycolytic capacity and significantly (P < 0.0001) lower ECAR after 2-DG compared with PCS. Furthermore, C2 cells also had higher OCRs, indicating the metabolic rates, and hence, ATP consumption rates of C2 cells were significantly (P < 0.0001) elevated compared with normal prostate epithelial cells, PCS (Supplementary Fig. S1A–S1D). The high rates of glycolysis in C2 cells, rather than satisfying global cellular ATP demand, may be more indicative of compartmentalized need for ATP production at the plasma membrane, as described in ref. 16. Expression of GLUT-1 is often, but not always, observed in cells with increased glycolysis. Our IHC results (Supplementary Fig. S2A and S2B) show elevated GLUT-1 in the more malignant TRAMP tumor tissue of tap-treated mice, and significantly (P = 0.002) less in the less malignant tumors of bicarbonate-treated mice (vide infra). We interpret these findings to indicate the more malignant TRAMP tumors with higher GLUT-1 levels also have higher rates of glucose-stimulated acid production.
High rates of glycolysis and acid production in cancer cells support rapid, invasive, and metastatic growth (19). Therefore, we investigated the migration and invasive capacity of both cell lines using the xCELLigence label-free platform (see Materials and Methods). Figure 1C shows migratory capacity as a measure of impedance (cell index) for each cell line in the presence and absence of FBS. C2 cells had significantly (P = 0.0015) high rates of migration, which was reduced in the absence of FBS, whereas C3 cells exhibited no migratory capacity under either condition. Figure 1D shows the increase in impedance in a transwell migration assay, wherein cells have to cross a Matrigel barrier toward the lower well containing FBS as a chemoattractant to generate a signal. Similar to the migration assays, the C2 cell line was significantly (P = 0.0007) more invasive compared with C3.
Do invasive niche engineering phenotypes compete with noninvasive, non–acid-producing populations in other cancers?
“Niche construction” is an ecological term to describe the modification of a microenvironment to benefit an invading or established species. We coopt this term to describe the ability of invading cancer cells to modify their local microenvironments in ways that provide them with the maximal benefit, while reducing the fitness of the host tissues. As noted above, the observation of significantly increased glucose uptake on FdG PET imaging in the vast majority of human cancers suggests that the niche construction phenotype is a common property of in vivo cancers. It is beyond the scope of this report to systematically investigate all cancer types. However, we did investigate prostate epithelial cells isolated from PTEN-null transgenic mice that were either heterozygous (PTEN-P8) or homozygous (PTEN-CaP8) for PTEN deletion (Supplementary Fig. S3A and S3B; ref. 7), and epithelial pancreatic cell lines derived from KrasG12D;Trp53R172H;Pdx1-Cre (KPC) model, UN-KPC-960, and UN-KPC-961(Supplementary Fig. S4A and S4B; ref. 8). We observed, similar to the C2/C3 phenotypic dichotomy, that PTEN-P8 cells are nontumorigenic and UN-KPC-960 are nonmetastatic and both relied on oxidative metabolism, whereas the tumorigenic PTEN-CaP8 and metastatic UN-KPC-961 cells were highly glycolytic (P < 0.01 and P < 0.001, respectively). Coexistent invasive and angiogenic subpopulations have been reported in other mouse tumors (6) as well clinical breast (7), colon (8), and skin (9) cancers, as well as glioblastoma multiforme (10). These data suggest a dichotomy in metabolic phenotypes in cancer cells within the same tumor may be a generalizable phenomenon.
The C3 phenotype increases blood flow in TRAMP mice
We view the acid production of C2-type cells as a form of niche construction that permits the cells to invade into surrounding tissue presumably coopting their blood vessels. We note, however, that C3-type cells may also be engaged in a relatively noninvasive niche construction strategy in which they maximize proliferation by promoting ingrowth of functioning blood vessels. In vivo investigations using dynamic contrast-enhanced MRI (Fig. 2A and B) demonstrated that significantly (P < 0.0001) increased and more spatially homogeneous blood flow was observed in bicarbonate-treated tumors (with predominantly C3 phenotype, vide infra) compared with controls (Fig. 2C). Further IHC analyses of the tumors following sacrifice demonstrated that the bicarbonate-treated tumors had a significantly higher number of vessels per unit area (P = 0.0004), smaller vessel diameter (P = 0.029), higher expression of smooth muscle actin (P = 0.04), and decreased VEGF expression (P = 0.03), also consistent with a vascular normalization (Supplementary Fig. S5A–S5F).
Effect of bicarbonate on perfusion in TRAMP. A–C, Tumor vasculature (perfusion and permeability) was assessed using gadolinium-based dynamic contrast-enhanced (DCE)-MRI, A, Representative images of DCE-MRI images in coronal plane of the TRAMP prostate tumor in the tap group and 200 mmol/L bicarbonate group are shown. Images were obtained at time 0 (prior to gadolinium injections) and at 4, 7, and 10 minutes post-gadolinium injections. The color scale represents incremental increase in signal intensity in the prostate. B, Data analysis for initial AUC of the signal intensity was performed using MATLAB, showing higher blood flow in the 200 mmol/L bicarbonate-treated group (****, P < 0.0001). C, Statistical analyses of enhancement at 10 minutes, showing mean signal intensity ± SD, as well as the skewness of the histogram of enhancement values ± SD. The mean values indicate significantly increased enhancement (P = 0.001) in the treated compared with the tap controls. Furthermore, the enhancing pixels in the tap group were more normally distributed, compared with the bicarbonate group (P = 0.03), which we interpret as recruitment of new vasculature that is skewed toward higher perfusion values. Two-tailed Student t tests were used to calculate statistical significance.
Effect of bicarbonate on perfusion in TRAMP. A–C, Tumor vasculature (perfusion and permeability) was assessed using gadolinium-based dynamic contrast-enhanced (DCE)-MRI, A, Representative images of DCE-MRI images in coronal plane of the TRAMP prostate tumor in the tap group and 200 mmol/L bicarbonate group are shown. Images were obtained at time 0 (prior to gadolinium injections) and at 4, 7, and 10 minutes post-gadolinium injections. The color scale represents incremental increase in signal intensity in the prostate. B, Data analysis for initial AUC of the signal intensity was performed using MATLAB, showing higher blood flow in the 200 mmol/L bicarbonate-treated group (****, P < 0.0001). C, Statistical analyses of enhancement at 10 minutes, showing mean signal intensity ± SD, as well as the skewness of the histogram of enhancement values ± SD. The mean values indicate significantly increased enhancement (P = 0.001) in the treated compared with the tap controls. Furthermore, the enhancing pixels in the tap group were more normally distributed, compared with the bicarbonate group (P = 0.03), which we interpret as recruitment of new vasculature that is skewed toward higher perfusion values. Two-tailed Student t tests were used to calculate statistical significance.
Mathematical model of the evolutionary dynamics of intratumoral competition
To examine the Darwinian dynamics governing the interactions of these competing subpopulations, we extended our multiscale mathematical model (4, 5), based on a hybrid cellular automaton paradigm, to incorporate a ductal geometry. This model captures the complex spatiotemporal interactions of competing tumor cell phenotypes and microenvironmental selection forces, such as oxygen, glucose, and acidosis (Fig. 3A and B). Details of the model have been published previously (4, 5, 20), but the core elements are explained in Fig. 3A and B, the Quick Guide to Equations and Assumptions, and the Supplementary Methods. The model simulations demonstrate that the niche construction phenotype will be the dominant tumor subpopulation, and the invasive properties of this phenotype are critical for transition from in situ to invasive cancer and aggressive growth of primary and metastatic tumors (Fig. 3C–E).
Results from a multiscale mathematical model of tumor growth for different starting times and doses of sodium bicarbonate. A, Modeled interactions between microenvironmental components in vasculature, oxygen, and acidosis (yellow) and tumor cell phenotypes (aerobic, green; acid-resistant, blue; glycolytic, red; glycolytic and acid-resistant, pink). B, Cell life cycle flowchart that every tumor cell obeys, showing input parameters of oxygen, pH, ATP and space, and resulting cell decisions of quiescence, death, or proliferation. C and D, Phenotype space (C) and physical space (D) are shown at t = 200 days for the following treatment conditions: (i) low-dose bicarbonate given early (t = 40 days); (ii) high dose given early; (iii) low dose given late (t = 150 days); (iv) high dose given late; (v) no treatment. Initial conditions for each simulation are identical and shown as inset S in each panel of D. C, For each simulation, the colors of the tumor cells correspond to their position in phenotype space, where the horizontal axis is the level of glycolytic capacity and the vertical axis is the amount of acid resistance. Estimated regions corresponding to C2 (blue/magenta) and C3 (green) phenotypes are indicated. E, Corresponding growth curves, with tumor size (area in mm2) and time in days. The simulation windows (D) are approximately 4.5 × 4.5 mm in size (see Supplementary Movie S1).
Results from a multiscale mathematical model of tumor growth for different starting times and doses of sodium bicarbonate. A, Modeled interactions between microenvironmental components in vasculature, oxygen, and acidosis (yellow) and tumor cell phenotypes (aerobic, green; acid-resistant, blue; glycolytic, red; glycolytic and acid-resistant, pink). B, Cell life cycle flowchart that every tumor cell obeys, showing input parameters of oxygen, pH, ATP and space, and resulting cell decisions of quiescence, death, or proliferation. C and D, Phenotype space (C) and physical space (D) are shown at t = 200 days for the following treatment conditions: (i) low-dose bicarbonate given early (t = 40 days); (ii) high dose given early; (iii) low dose given late (t = 150 days); (iv) high dose given late; (v) no treatment. Initial conditions for each simulation are identical and shown as inset S in each panel of D. C, For each simulation, the colors of the tumor cells correspond to their position in phenotype space, where the horizontal axis is the level of glycolytic capacity and the vertical axis is the amount of acid resistance. Estimated regions corresponding to C2 (blue/magenta) and C3 (green) phenotypes are indicated. E, Corresponding growth curves, with tumor size (area in mm2) and time in days. The simulation windows (D) are approximately 4.5 × 4.5 mm in size (see Supplementary Movie S1).
We hypothesized that the cost/benefit ratio of the invasive, niche construction phenotype might be sufficiently close to unity that a small change in the numerator or denominator could reduce the population fitness and select for the competing noninvasive phenotype. We tested the hypothesis in silico by examining the intratumoral evolutionary dynamics following a small increase in extracellular pHe through the administration of systemic buffers at 40 or 150 days. The time plots in Fig. 3 and Supplementary Movie S1 show the growth dynamics for the treatments and control. The control has two phases of growth: Initially, growth of the tumor population is constrained by competition with the surrounding normal cells. At about t = 120 days, the C2-like invasive niche construction phenotype has evolved, increasing the growth rate by a factor of 7. The simulation outcomes at t = 200 days for treatments of preinvasive, in situ tumors are shown in panels 1 and 2 of Fig. 3D. Both high- and low-dose treatments were examined and were sufficient to prevent evolution of the niche construction phenotype such that the C3-like noninvasive phenotype remains dominant in the population and the tumor never becomes invasive. Thus, this strategy of promoting the C3-like cells at the expense of the C2-like competitors prevents the development of an invasive cancer.
We then examined environmental perturbations in growing primary cancers. Here, the C2-like invasive phenotype has evolved and, because of its fitness advantage, become the dominant population, while the C3-like noninvasive cells are only present in a small population. Final median phenotypes for the tumor following the administration of high and low doses of systemic buffer are shown in Fig. 3C. In these models, untreated tumors were dominated by C2-like cells, and administrations of low dose buffers did not significantly alter the population dynamics. However, as demonstrated in Fig. 3C and the Supplementary Movie S1, higher dose buffer significantly alters the median phenotypes (cyan dot), and in particular, the dominant population moves from C2-like back toward C3-like during treatment. Hence, the model predicts that relatively small perturbations in environmental conditions can induce a population phase transition and specifically select for noninvasive cancer cell phenotypes.
Testing model predictions in TRAMP tumors
The mathematical model makes two explicit predictions relevant for in vivo population dynamics in TRAMP mice: (i) Small changes in the pHe of in situ tumors will select for the noninvasive C3-like phenotype, and this will prevent the development of invasive cancer and (ii) changes in the pHe of invasive cancers can produce a population phase transition favoring the C3-like phenotype and significantly reduce the tumor growth rate.
We tested prediction (i) by adding 200 mmol/L of NaHCO3 to the drinking water, which increased (P < 0.04) intraprostatic pHe by a mean of 0.2 (±0.04) pH units. Increases in intraprostatic pHe with different concentrations of bicarbonate were measured by electrode (Fig. 4A). Serum sodium concentrations (Supplementary Fig. S6A) were identical in both groups, indicating that the systemic metabolic alkalosis was fully compensated. As observed in prior studies (18, 21, 22), mice weight was not significantly different in the treatment cohorts when compared with the control cohort; water intake was increased in mice on sodium bicarbonate, apparently as a consequence of sodium (Supplementary Fig. S6B and S6C).
Reduction of tumor growth in TRAMP model. A, In vivo measurements of the pH of the prostate in tap, 200 mmol/L bicarbonate-treated groups, and 400 mmol/L bicarbonate-treated group (n = 3 for each cohort) were obtained immediately prior to euthanasia. pH was measured using single-barrel pH microelectrode, MI-419 (Microelectrode, Inc.). The results indicate a statistically significant increase in pH in the bicarbonate-treated animals compared with the tap animals. *, P = 0.015; *, P = 0.04. Mean ± SEM is shown. B, Prostate volume measurements of different treatments; nontransgenic (n = 5), TAP (n = 7), late start 200 mmol/L bicarbonate treatment (n = 5), early treatment at 200 mmol/L bicarbonate (n = 5), and late treated with 400 mmol/L bicarbonate (n = 7) cohorts obtained through US imaging. Data show that mice treated with higher dose (400 mmol/L sodium bicarbonate) at 4 weeks of age maintained reduced prostate volumes throughout study (*, P = 0.016), whereas the late-treated mice (started at 10 weeks) only showed reduced volume at 24 weeks (*, P = 0.03). C, Histologic quantitative analysis of prostate tumors showing percent pixels associated with benign and malignant phenotypes in prostate tumors of different treatment cohorts. These show significant differences in the percent of benign and malignant tumors observed in the 4-week-old treated mice and late treated with increased doses compared with other groups. *, P = 0.017 and *, P = 0.03, respectively. A two-tailed Student t test was used to calculate statistical significance.
Reduction of tumor growth in TRAMP model. A, In vivo measurements of the pH of the prostate in tap, 200 mmol/L bicarbonate-treated groups, and 400 mmol/L bicarbonate-treated group (n = 3 for each cohort) were obtained immediately prior to euthanasia. pH was measured using single-barrel pH microelectrode, MI-419 (Microelectrode, Inc.). The results indicate a statistically significant increase in pH in the bicarbonate-treated animals compared with the tap animals. *, P = 0.015; *, P = 0.04. Mean ± SEM is shown. B, Prostate volume measurements of different treatments; nontransgenic (n = 5), TAP (n = 7), late start 200 mmol/L bicarbonate treatment (n = 5), early treatment at 200 mmol/L bicarbonate (n = 5), and late treated with 400 mmol/L bicarbonate (n = 7) cohorts obtained through US imaging. Data show that mice treated with higher dose (400 mmol/L sodium bicarbonate) at 4 weeks of age maintained reduced prostate volumes throughout study (*, P = 0.016), whereas the late-treated mice (started at 10 weeks) only showed reduced volume at 24 weeks (*, P = 0.03). C, Histologic quantitative analysis of prostate tumors showing percent pixels associated with benign and malignant phenotypes in prostate tumors of different treatment cohorts. These show significant differences in the percent of benign and malignant tumors observed in the 4-week-old treated mice and late treated with increased doses compared with other groups. *, P = 0.017 and *, P = 0.03, respectively. A two-tailed Student t test was used to calculate statistical significance.
Consistent with prior observations, we found the addition of systemic buffers at 4 weeks prevented the transition from in situ to invasive cancers. IHC evaluation of the treated and untreated tumors (see below) confirmed that the C2 phenotype dominated the untreated tumor population, while the tumor cells in the treated animals, which remained intraductal (i.e., did not break through the basement membrane), exhibited a phenotype similar to C3 cells (Supplementary Fig. S7A).
Prediction (ii) was tested by adding sodium bicarbonate to drinking water at 10 weeks of age and, therefore, in invasive tumors already dominated by C2 cells. Consistent with mathematical model predictions, the group treated with 400 mmol/L of sodium bicarbonate starting at 10 weeks showed a significant (P = 0.03) slowing of the primary tumor growth compared with controls at the 24-week time point (Fig. 4B). At necropsy, IHC demonstrated the dominant population in the treated tumors was the C3 phenotype (Supplementary Figs. S2 and S5). This population transition, in addition to slower growth, manifested a significant (P = 0.03) decreased histologic grade compared with controls (Fig. 4C).
Selection for the C3 phenotype reduces metastases
As the growth of metastatic tumors requires invasive growth both at the site of the primary tumor and at the site of metastases, we hypothesized that selection for the noninvasive C3 phenotype would decrease the formation of secondary tumors. To model this, we simulated the effect of buffer therapy on a range of metastatic tumor seeds by placing single cells with different phenotypes into a field of normal tissue, under conditions of high dose, low dose, and no therapy. The simulations were run until t = 120 days, at which point the size of the metastasis was measured. The results (Fig. 5A) showed that the overall effect of high-dose systemic buffers will depend on the distribution of circulating phenotypes and sizes at the time of treatment. However, as with the primary tumors, the model predicts that high doses of systemic buffers will significantly suppress metastatic tumor growth.
Reduction of tumor metastasis in TRAMP model. A, Simulated growth of metastases under untreated (green curve), low-dose (red), and high-dose (blue) buffer therapy. The horizontal axis represents the phenotype of the initial metastatic seed cell. Seeds were selected from positions along the diagonal white line in the phenotype plot of Fig. 4C, where the value of 0 in this plot corresponds to position S (normal phenotype) and the value of 1 corresponds to the most glycolytic and acid-resistant phenotype, the top right corner of Fig. 4A. For reference, the color gradient represents the seed phenotypes, with C3 and C2 cell types as marked. The vertical axis shows the final size of the metastasis in mm2, measured at t = 120 days after the metastatic cell was seeded. The buffer therapy was administered from t = 0 until the end of the simulation. Each point is the average of four runs. High-dose therapy suppresses metastases of all seed types; aggressive C2 seeds still grow under low-dose therapy. B, Lungs and liver metastasis images (respectively, from three different treatment cohorts). In the tap cohort, we observed metastasis, whereas in bicarbonate-treated cohorts, minimal metastases were observed. Black arrow, normal tissue; white arrow, metastasis. C, Quantification of metastasis in the lungs and liver of three different cohorts, showing significant decrease in lung metastasis (**, P = 0.001) in early treatment and in late treatment groups compared with tap. (*, P = 0.03) For liver, *, P = 0.01 for early treatment and *, P = 0.02 for late treatment compared with tap. Mean ± SEM are shown. A two-tailed Student t test was used to calculate statistical significance.
Reduction of tumor metastasis in TRAMP model. A, Simulated growth of metastases under untreated (green curve), low-dose (red), and high-dose (blue) buffer therapy. The horizontal axis represents the phenotype of the initial metastatic seed cell. Seeds were selected from positions along the diagonal white line in the phenotype plot of Fig. 4C, where the value of 0 in this plot corresponds to position S (normal phenotype) and the value of 1 corresponds to the most glycolytic and acid-resistant phenotype, the top right corner of Fig. 4A. For reference, the color gradient represents the seed phenotypes, with C3 and C2 cell types as marked. The vertical axis shows the final size of the metastasis in mm2, measured at t = 120 days after the metastatic cell was seeded. The buffer therapy was administered from t = 0 until the end of the simulation. Each point is the average of four runs. High-dose therapy suppresses metastases of all seed types; aggressive C2 seeds still grow under low-dose therapy. B, Lungs and liver metastasis images (respectively, from three different treatment cohorts). In the tap cohort, we observed metastasis, whereas in bicarbonate-treated cohorts, minimal metastases were observed. Black arrow, normal tissue; white arrow, metastasis. C, Quantification of metastasis in the lungs and liver of three different cohorts, showing significant decrease in lung metastasis (**, P = 0.001) in early treatment and in late treatment groups compared with tap. (*, P = 0.03) For liver, *, P = 0.01 for early treatment and *, P = 0.02 for late treatment compared with tap. Mean ± SEM are shown. A two-tailed Student t test was used to calculate statistical significance.
On the basis of these mathematical model results, we then investigated whether a higher dose (400 mmol/L) of NaHCO3 initiated at 10 weeks could inhibit the development of metastasis. There were fewer metastases to lung and liver, and their quantification showed a significant (P < 0.03) decrease in in the treated cohorts compared with controls (Fig. 5B and C).
Metastasis requires the release of various proteases, including metalloproteases (MMP; refs. 23, 24). To examine MMP activity in vivo, we injected with an MMP-activatable fluorescent probe (MMPSense 680, see Materials and Methods) via the tail vein 24 hours before analysis at 28 weeks (Supplementary Fig. S8A). Quantification of images demonstrated significantly (P < 0.05) lower activity in both the 4- and 10-week bicarbonate-treated cohorts, compared with controls (Supplementary Fig. S8B). In vitro controls have previously shown that the activity of these probes is not pH dependent in the range of these experiments (25). Using qRT-PCR, we demonstrated MMP-9 mRNA expression was specifically upregulated by acidosis in C2, in contrast to MMP-2, -3, and -13 (Supplementary Fig. S8C).
Can the results in TRAMP mice be reproduced in other experimental models?
To test the broad applicability of our results in the TRAMP mice, we designed an experiment that investigated the in vivo competition of two metabolically different breast cancer cell lines: noninvasive MCF7 and highly invasive MDA-MB-231. In vitro, we demonstrated (Supplementary Fig. S9A–S9C) that the MDA-MB-231 cells were highly glycolytic (P < 0.0001), acid producing, motile, and invasive similar to C2 cells, whereas the MCF7 cells were noninvasive, nonmotile, and exhibited near-normal glucose metabolism similar to C3 cells. IHC results showing significantly (P = 0.0013) elevated GLUT-1 in the more malignant MDA-MB-231 tumor tissue compared with MCF7 cells (Supplementary Fig. S9D). We engineered MCF7 and MDA-MB-231 cells to express eGFP and red fluorescent protein (RFP), respectively. In vitro, we formed spheroids with the two populations, which were initially well mixed with or without Matrigel (n = 8 per condition). Within hours, the cells moved rapidly to establish a distinct and consistent spatial mix in which the MDA-MB-231 cells formed the surface of the spheroids, and MCF7 cells were exclusively within the central regions of the spheroids (Supplementary Fig. S10). Well-mixed cells from the two cell lines were coinjected in equal numbers into the mammary fat pad of recipient SCID mice. An estrogen pellet was placed subcutaneously prior to tumor injection to allow growth of the ER+ MCF7 cells. Relative GFP and RFP fluorescence was used to qualitatively monitor tumor growth in these animals and identified the appropriate time for endpoint evaluation. The animals were sacrificed 21 days following implantation, and sections were scored for ER positivity by IHC to identify MCF7 cells within the population. IHC analysis of ER expression is a preferred endpoint in these studies, as it is highly reproducible in a CLIA environment and can be quantified in a binary fashion on a pixel-by-pixel basis. In contrast, GFP and RFP fluorescence is difficult to quantify due to light penetration and scatter and the known effects of microenvironment (pH and oxygen) on fluorescent protein maturation. In the control animals, the ER− MDA-MB-231 cells were the dominant population at the endpoint. However, in mice treated with 400 mmol/L NaHCO3, the number of ER+ MCF7 cells was significantly (P < 0.0001) increased in the treated group (Fig. 6A and B; Supplementary Fig. S11). Furthermore, this population phase transition coincided with a decrease in the tumor growth rate (Fig. 6C).
A, Top images are H&E images of representative tumors of each cell line and mix (MDA-MB-231 and MCF7, 1:1) under different treatments. Lower images are ER staining of consecutive slices of the same tumors as in H&E. B, Analysis of ER expression in all the tumors used in this experiment. Note how ER expression is bigger (P = 0.0001) in those tumors (composed by a mixture of MDA-MB-231 and MCF7, 1:1) treated with bicarbonate 400 mmol/L than in those under tap water. C, MRI volumetric data of all the tumors used in this experiment. Data are represented as fold of change in tumor volume versus days after tumor injection. Mean ± SEM is shown. A two-tailed Student t test was used to calculate statistical significance.
A, Top images are H&E images of representative tumors of each cell line and mix (MDA-MB-231 and MCF7, 1:1) under different treatments. Lower images are ER staining of consecutive slices of the same tumors as in H&E. B, Analysis of ER expression in all the tumors used in this experiment. Note how ER expression is bigger (P = 0.0001) in those tumors (composed by a mixture of MDA-MB-231 and MCF7, 1:1) treated with bicarbonate 400 mmol/L than in those under tap water. C, MRI volumetric data of all the tumors used in this experiment. Data are represented as fold of change in tumor volume versus days after tumor injection. Mean ± SEM is shown. A two-tailed Student t test was used to calculate statistical significance.
Model for manipulation of niche construction evolutionary strategy. Our hypotheses is that tumors consist of two distinct subpopulations of cells, highly glycolytic, acid-producing cells (red cells), and nonglycolytic, non–acid-producing cells (blue cells). Our model predicts that small perturbations in pHe could induce a population phase transition favoring the non–acid-producing, noninvasive cancer populations. PIN, prostate intraepithelial neoplasia.
Model for manipulation of niche construction evolutionary strategy. Our hypotheses is that tumors consist of two distinct subpopulations of cells, highly glycolytic, acid-producing cells (red cells), and nonglycolytic, non–acid-producing cells (blue cells). Our model predicts that small perturbations in pHe could induce a population phase transition favoring the non–acid-producing, noninvasive cancer populations. PIN, prostate intraepithelial neoplasia.
Thus, our model demonstrates the dominant population in control tumors exhibited both metabolic and invasive strategies of the C2 phenotype, whereas the dominant tumor population in the treated cohorts demonstrated the C3 phenotype, consistent with effects on tumor size, histologic grade, and metastases (Fig. 7).
Discussion
It is clear that intratumoral evolution produces multiple genetically defined competing subpopulations. Here, we investigate the adaptive strategies of these subpopulations and, although there are likely many, focus on two phenotypes that were stably maintained in culture following extraction from three different spontaneous tumor models.
Each population engineers the local ecology to favor its own proliferation and undermine competitors. The angiogenic phenotype promotes ingrowth of vessels to increase the carrying capacity and increases proliferation. However, this phenotype promotes relatively compact and slow tumor growth. Model predictions are consistent with histologic observations of a “pushing” tumor edge, which typically confers a favorable prognosis (26). In contrast, the invasive phenotype, through acidification of the environment, benefits by the acid-mediated suppression of competing cancer cell adaptive strategies, inhibition of immune response to tumor antigens, and degradation of the extracellular matrix, which promotes invasion. Prior studies have demonstrated that increased acid production is intimately coupled to invasion (27), and a recent genome-wide computational analysis has shown high correlation between aerobic glycolysis and cell motility (28). Histologically, this phenotype will manifest as an “infiltrating” border, which confers a poor prognosis (26).
In ongoing intratumoral evolution, the benefits of each adaptive strategy are weighed against the costs. For the invasive strategy, costs include diminished efficiency of energy production due to aerobic glycolysis and the metabolic demands (due to membrane proton pumps, for example) of adapting to an acidic environment. It seems likely that the benefits of niche construction generally outweigh the costs, as the vast majority of primary and metastatic cancers exhibit increased glucose accumulation in FdG PET imaging.
Here, we asked: how robust to external perturbations is this apparent advantage? Complex dynamical systems, such as cancers, are typically dominated by nonlinear interactions, dynamics that are difficult to anticipate intuitively. Thus, the experimental work was guided by mathematical models, which demonstrated even small changes in the pHe could reduce the fitness advantage of the invasive, glycolytic phenotype, leading to a population phase transition (Fig. 3) favoring non–acid-producing, noninvasive phenotypes.
This prediction was confirmed in TRAMP mice as small changes in intraprostatic or intratumoral pHe promoted noninvasive phenotypes and significantly altered tumor growth patterns. To explicitly investigate competition between these two adaptive strategies, we constructed an experimental tumor using two breast cancer cell lines: lowly invasive, metabolically near-normal, angiogenic MCF7 cells and highly invasive, highly glycolytic, acid-secreting MDA-MB-231 cells. Consistent with model predictions and observations in TRAMP mice, we found that the MDA-MB-231 cells became the dominant population in vivo. However, when the experiment was repeated with 400 mmol/L of NaHCO3 added to the drinking water, MCF7 cells became favored, and the tumor growth slowed significantly (Fig. 6; Supplementary Fig. S11).
In summary, we demonstrate that cancers, like other complex dynamical systems, can be steered into a less aggressive course through application of relatively small but highly selective biological “force.” This can be achieved even in the absence of a comprehensive understanding of every component in the system through the application of mathematical models that capture the key underlying nonlinear Darwinian dynamics.
Disclosure of Potential Conflicts of Interest
No potential conflicts of interest were disclosed.
Authors' Contributions
Conception and design: A. Ibrahim-Hashim, M. Robertson-Tessi, J.W. Wojtkowiak, M.C. Lloyd, J.S. Brown, A.R.A. Anderson, R.J. Gillies, R.A. Gatenby
Development of methodology: A. Ibrahim-Hashim, M. Robertson-Tessi, Y. Balagurunathan, K. Yoonseok, M.C. Lloyd, A.R.A. Anderson, R.J. Gillies, R.A. Gatenby
Acquisition of data (provided animals, acquired and managed patients, provided facilities, etc.): A. Ibrahim-Hashim, M. Robertson-Tessi, P.M. Enriquez-Navas, M. Damaghi, J.W. Wojtkowiak, S. Russell, K. Yoonseok, M.C. Lloyd, M.M. Bui, R.J. Gillies, R.A. Gatenby
Analysis and interpretation of data (e.g., statistical analysis, biostatistics, computational analysis): M. Robertson-Tessi, P.M. Enriquez-Navas, M. Damaghi, Y. Balagurunathan, S. Russell, K. Yoonseok, M.C. Lloyd, M.M. Bui, J.S. Brown, A.R.A. Anderson, R.J. Gillies, R.A. Gatenby
Writing, review, and/or revision of the manuscript: A. Ibrahim-Hashim, M. Robertson-Tessi, P.M. Enriquez-Navas, Y. Balagurunathan, M.M. Bui, J.S. Brown, A.R.A. Anderson, R.J. Gillies, R.A. Gatenby
Administrative, technical, or material support (i.e., reporting or organizing data, constructing databases): A. Ibrahim-Hashim, R.J. Gillies
Study supervision: A. Ibrahim-Hashim, A.R.A. Anderson, R.J. Gillies
Other (led the computational model development, implementation, and calibration): A.R.A. Anderson
Grant Support
This work was supported by NIH grants U54CA193489 to A.R.A. Anderson, R.A. Gatenby, and R.J. Gillies; R01CA077575-15 to R.J. Gillies and R.A Gatenby; and U01CA151924 to A.R.A. Anderson. The following core facilities at the Moffitt Cancer Center were supported by the CCSG 5P30CA76292-13: Animal images were completed with the support of the Small Animal Imaging Lab (SAIL); IHC was performed in the tissue core facility; image analysis was completed with the support of the Analytical Microscopy core facility and assistance was provided by the Tissue Core Facility.
The costs of publication of this article were defrayed in part by the payment of page charges. This article must therefore be hereby marked advertisement in accordance with 18 U.S.C. Section 1734 solely to indicate this fact.











